next up previous contents
Next: 1.6 Noise, artifacts and Up: 1. Introduction Previous: 1.4.4 De-identification of patients'   Contents


1.5 Clinical overview of patients in the initial release of the MIMIC II database

As of version 2.6 (April 2011) MIMIC II contains around 33,000 patients of which approximately 25,000 are adults (having age $\geq
15$ years old at time of last admission) and around 8000 are neonates (age $\leq 1$ month old at the time of first admission. These patients experienced over 36,000 hospital admissions and over 40,000 ICU stays.

A statistical summary of the database contents is provided for each release of the database and can be found on the project's website:

https://mimic.physionet.org/database/releases.html

Although we have collected neonatal waveforms, these will likely be released at a later date when the associated clinical data has been matched and verified. The rest of the description of the data in this section is therefore limited to the adult population.

Figure 1.8: Age distribution of adult patients at time of ICU admission in MIMIC II database.
Image age

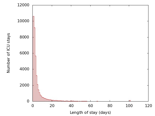
Figure 1.9: Length of stay of patients in MIMIC II database.
Image los

Figure 1.8 illustrates the age distribution of adult patients entering the ICU. Therefore, a patient will be represented more than once if they were admitted to the ICU more than once. The mean age at time of admission was 63.44 years and the median age was 65.33 years. Note small drops in admission rates for patients during his/her mid 20s to mid 30s, and again around 65 years of age. The distribution of length of stay for each ICU admission is illustrated in figure 1.9. Note that the distribution is heavy tailed, with a mean of 4.57 days and a median of only 2.15 days.


next up previous contents
Next: 1.6 Noise, artifacts and Up: 1. Introduction Previous: 1.4.4 De-identification of patients'   Contents
djscott 2011-09-07